Задачи не для чайников ⇐ Другие темы о русской словесности и культуре
Модератор: Penguin
-
Автор темыrusak
- ВПЗР

- Всего сообщений: 2645
- Зарегистрирован: 24.11.2014
- Образование: высшее техническое
- Профессия: художник
- Откуда: Москва
- Возраст: 43
Задачи не для чайников
На параболу падает луч, который параллелен центральной оси. Как доказать, что отраженный луч пройдет через точку фокуса?
Мы все в океан попадем бесконечного будущего, но прошлого миг повторить никому не дано.
-
Таланов
- по чётным - академик

- Всего сообщений: 1200
- Зарегистрирован: 29.08.2013
- Образование: высшее естественно-научное
- Профессия: инженер
- Откуда: Дивногорск
- Возраст: 66
-
Автор темыrusak
- ВПЗР

- Всего сообщений: 2645
- Зарегистрирован: 24.11.2014
- Образование: высшее техническое
- Профессия: художник
- Откуда: Москва
- Возраст: 43
Re: Задачки на сообразительность
Мне важно геометрическое доказательство. Сам не знаю, и нигде не нашел. Задача-то на первый взгляд плевенькая...
Мы все в океан попадем бесконечного будущего, но прошлого миг повторить никому не дано.
-
ALNY
- по чётным - академик

- Всего сообщений: 1291
- Зарегистрирован: 31.05.2010
- Образование: высшее естественно-научное
- Откуда: Россия, Омск
Re: Задачки на сообразительность
Что мы имеем? Уравнение параболы 2*P*Y = X*X. Запишем уравнения для трёх прямых, проходящих через произвольную точку параболы {X0;Y0}, где Y0, естественно, равно (X0*X0)/(2*P).
Падающий луч: Х - Х0 = 0. Или A1 = 1, B1 = 0, C1 = -X0.
Касательная к параболе: (X0/P)*X - Y + (Y0 - X0*X0/P) = 0. Или A2 = X0/P, B2 = -1, C2 = Y0 - X0*X0/P.
Пока неизвестный нам отраженный луч: A3*X + B3*Y + C3.
Тангенс угла между прямыми вычисляется по формуле: (A1*B2 - A2*B1)/(A1*A2 + B1*B2).
Тангенс угла между падающим лучом и касательной к параболе равен {1*(-1) - (X0/P)*0}/{1*(X0/P) + 0*(-1)} = -P/X0
Тангенс угла между отраженным лучом и касательной к параболе равен {X0*B3 + A3*P}/{X0*A3 - P*B3}
Угол падения, как известно, равен углу отражения. Приравниваем тангенсы углов, сокращаем и получаем следующее соотношение 2*P*X0*A3 = (P*P - X0*X0)*B3, или в другом виде: A3/B3 = (P*P - X0*X0)/(2*P*X0).
Проще искать уравнение прямой отраженного луча в следующей форме: Y = k*X + b.
Поскольку угловой коэффициент k = - A3/B3, получаем k = (P*P - X0*X0)/(2*P*X0). Поскольку прямая проходит через точку параболы {X0;Y0}, то можем выразить свободный член: b = P/2. При Х = 0 это и есть ордината точки пересечения отраженного луча с осью параболы. Она одна и та же при любых значениях Х0. Т.е. все отраженные лучи проходят через одну и ту же точку с координатами {0;P/2}, другими словами - через фокус параболы. ЧТД.
Выкладки, наверно, можно сократить, но уже лениво думать, как это можно сделать.
rusak:На параболу падает луч, который параллелен центральной оси. Как доказать, что отраженный луч пройдет через точку фокуса?
Что-то мне не представляется это прямо-таки плевенькой задачкой. Проще доказать не геометрически, а алгебраически. И то у меня выкладки получились, хоть и простые, но не очень-то короткие.rusak:Мне важно геометрическое доказательство. Сам не знаю, и нигде не нашел. Задача-то на первый взгляд плевенькая...
Что мы имеем? Уравнение параболы 2*P*Y = X*X. Запишем уравнения для трёх прямых, проходящих через произвольную точку параболы {X0;Y0}, где Y0, естественно, равно (X0*X0)/(2*P).
Падающий луч: Х - Х0 = 0. Или A1 = 1, B1 = 0, C1 = -X0.
Касательная к параболе: (X0/P)*X - Y + (Y0 - X0*X0/P) = 0. Или A2 = X0/P, B2 = -1, C2 = Y0 - X0*X0/P.
Пока неизвестный нам отраженный луч: A3*X + B3*Y + C3.
Тангенс угла между прямыми вычисляется по формуле: (A1*B2 - A2*B1)/(A1*A2 + B1*B2).
Тангенс угла между падающим лучом и касательной к параболе равен {1*(-1) - (X0/P)*0}/{1*(X0/P) + 0*(-1)} = -P/X0
Тангенс угла между отраженным лучом и касательной к параболе равен {X0*B3 + A3*P}/{X0*A3 - P*B3}
Угол падения, как известно, равен углу отражения. Приравниваем тангенсы углов, сокращаем и получаем следующее соотношение 2*P*X0*A3 = (P*P - X0*X0)*B3, или в другом виде: A3/B3 = (P*P - X0*X0)/(2*P*X0).
Проще искать уравнение прямой отраженного луча в следующей форме: Y = k*X + b.
Поскольку угловой коэффициент k = - A3/B3, получаем k = (P*P - X0*X0)/(2*P*X0). Поскольку прямая проходит через точку параболы {X0;Y0}, то можем выразить свободный член: b = P/2. При Х = 0 это и есть ордината точки пересечения отраженного луча с осью параболы. Она одна и та же при любых значениях Х0. Т.е. все отраженные лучи проходят через одну и ту же точку с координатами {0;P/2}, другими словами - через фокус параболы. ЧТД.
Выкладки, наверно, можно сократить, но уже лениво думать, как это можно сделать.
-
ALNY
- по чётным - академик

- Всего сообщений: 1291
- Зарегистрирован: 31.05.2010
- Образование: высшее естественно-научное
- Откуда: Россия, Омск
Re: Задачки на сообразительность
Поспешишь - людей насмешишь...
Разумеется, фразу: "Пока неизвестный нам отраженный луч: A3*X + B3*Y + C3" следует читать как "Пока неизвестный нам отраженный луч: A3*X + B3*Y + C3 = 0" .
а вместо "Поскольку угловой коэффициент k = - A3/B3, получаем k = (P*P - X0*X0)/(2*P*X0)" надо читать "Поскольку угловой коэффициент k = - A3/B3, получаем k = (X0*X0 - P*P)/(2*P*X0)". Т.е. про смену знака я написал, а в самом выражении не сменил...
Разумеется, фразу: "Пока неизвестный нам отраженный луч: A3*X + B3*Y + C3" следует читать как "Пока неизвестный нам отраженный луч: A3*X + B3*Y + C3 = 0" .
а вместо "Поскольку угловой коэффициент k = - A3/B3, получаем k = (P*P - X0*X0)/(2*P*X0)" надо читать "Поскольку угловой коэффициент k = - A3/B3, получаем k = (X0*X0 - P*P)/(2*P*X0)". Т.е. про смену знака я написал, а в самом выражении не сменил...
-
Автор темыrusak
- ВПЗР

- Всего сообщений: 2645
- Зарегистрирован: 24.11.2014
- Образование: высшее техническое
- Профессия: художник
- Откуда: Москва
- Возраст: 43
Re: Задачки на сообразительность
Решение интересное. Мне удалось чисто геометрически доказать через треугольники, но не имею возможности рисунок вставить 
Мы все в океан попадем бесконечного будущего, но прошлого миг повторить никому не дано.
-
ALNY
- по чётным - академик

- Всего сообщений: 1291
- Зарегистрирован: 31.05.2010
- Образование: высшее естественно-научное
- Откуда: Россия, Омск
-
Автор темыrusak
- ВПЗР

- Всего сообщений: 2645
- Зарегистрирован: 24.11.2014
- Образование: высшее техническое
- Профессия: художник
- Откуда: Москва
- Возраст: 43
Re: Задачки на сообразительность
ALNY, понимаете, Вы тут показали с учетом того, что известны понятия p и фокуса. То есть второе определение параболы. Я же исхожу из того, что парабола - это в общем виде
y=ax^2+bx+c
и нужно рассмотреть такую ситуацию: вертикальный луч направляем до пересечения с точкой
(x, ax^2+bx+c) , смотрим его отражение и ищем точку пересечения отраженного луча с осью симметрии параболы. Чтобы эта точка была инвариантной, достаточно, чтобы в результате точка пересечения не зависила от параметра x.
Вот в таком ключе доказательство немного сложнее оказалось. Но красиво! Как жаль, что не могу до сих пор рисунок дать - пишу с телевизора и не совсем еще с ним освоился.
y=ax^2+bx+c
и нужно рассмотреть такую ситуацию: вертикальный луч направляем до пересечения с точкой
(x, ax^2+bx+c) , смотрим его отражение и ищем точку пересечения отраженного луча с осью симметрии параболы. Чтобы эта точка была инвариантной, достаточно, чтобы в результате точка пересечения не зависила от параметра x.
Вот в таком ключе доказательство немного сложнее оказалось. Но красиво! Как жаль, что не могу до сих пор рисунок дать - пишу с телевизора и не совсем еще с ним освоился.
Мы все в океан попадем бесконечного будущего, но прошлого миг повторить никому не дано.
-
ALNY
- по чётным - академик

- Всего сообщений: 1291
- Зарегистрирован: 31.05.2010
- Образование: высшее естественно-научное
- Откуда: Россия, Омск
Re: Задачки на сообразительность
Тут я уже начинаю теряться...
1. Если Вы собираетесь дать чисто геометрическое доказательство
Если Вы исходите из определения параболы как множества точек, заданных уравнением, то это уже аппарат аналитической геометрии. Тут вообще нет необходимости в каких-то чертежах, доказательство без единого рисунка я дал выше.
2. Нет никакой необходимости усложнять себе жизнь, используя не каноническое уравнение параболы.
Речь, видимо, идёт о каком-то гибридном доказательстве. Впрочем, всё равно интересно посмотреть.
Странно, что у Вас нет возможности размещать рисунки. Вроде бы сообщений уже не мало... Ну, пришлите мне картинку на почту, я размещу. Адрес моей электронной почты, вроде как, должен быть виден в моем профиле, но на всякий случай сброшу сейчас Вам в личку.
1. Если Вы собираетесь дать чисто геометрическое доказательство
то должны исходить из геометрического определения параболы - "геометрическое место точек, равноудалённых от данной прямой (называемой директрисой параболы) и данной точки (называемой фокусом параболы)". И тут задействуете аксиомы и теоремы планиметрии (те же упомянутые Вами свойства треугольников), не прибегая к алгебраическим понятиям и выкладкам.rusak:Мне удалось чисто геометрически доказать через треугольники
Если Вы исходите из определения параболы как множества точек, заданных уравнением, то это уже аппарат аналитической геометрии. Тут вообще нет необходимости в каких-то чертежах, доказательство без единого рисунка я дал выше.
2. Нет никакой необходимости усложнять себе жизнь, используя не каноническое уравнение параболы.
Речь, видимо, идёт о каком-то гибридном доказательстве. Впрочем, всё равно интересно посмотреть.
Странно, что у Вас нет возможности размещать рисунки. Вроде бы сообщений уже не мало... Ну, пришлите мне картинку на почту, я размещу. Адрес моей электронной почты, вроде как, должен быть виден в моем профиле, но на всякий случай сброшу сейчас Вам в личку.
-
Автор темыrusak
- ВПЗР

- Всего сообщений: 2645
- Зарегистрирован: 24.11.2014
- Образование: высшее техническое
- Профессия: художник
- Откуда: Москва
- Возраст: 43
Re: Задачки на сообразительность
ALNY, завтра обязательно скину на почту. Нужно рисунок получше начертить, сфоткать и тогда получится. В моем доказательстве все базируется на прямоугольных треугольниках. Единственная аналитическая сложность - нахождение арккотангенса. Сложность в смысле громоздкости выражения. Только и всего. Короче, завтра все на листике скомпоную.
Мы все в океан попадем бесконечного будущего, но прошлого миг повторить никому не дано.
-
ALNY
- по чётным - академик

- Всего сообщений: 1291
- Зарегистрирован: 31.05.2010
- Образование: высшее естественно-научное
- Откуда: Россия, Омск
Re: Задачки на сообразительность
Я сегодня не усну...rusak:Единственная аналитическая сложность - нахождение арккотангенса.
-
Автор темыrusak
- ВПЗР

- Всего сообщений: 2645
- Зарегистрирован: 24.11.2014
- Образование: высшее техническое
- Профессия: художник
- Откуда: Москва
- Возраст: 43
Re: Задачки на сообразительность
ALNY, вроде удалось послать с компа соседа. Думаю, все поймешь.
Мы все в океан попадем бесконечного будущего, но прошлого миг повторить никому не дано.
-
ALNY
- по чётным - академик

- Всего сообщений: 1291
- Зарегистрирован: 31.05.2010
- Образование: высшее естественно-научное
- Откуда: Россия, Омск
Re: Задачки на сообразительность
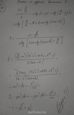
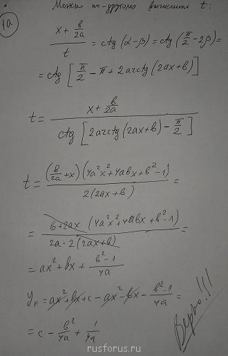
Фото обрезал и сейчас выставляю, как и обещал. Не очень комфортно, но - вполне читается. Если кому-то надо, вышлю фото покрупней. Тут не хочу лишнюю память съедать большими фото.
Содержание сам посмотрю и прокомментирую чуть позже.
Содержание сам посмотрю и прокомментирую чуть позже.
-
Автор темыrusak
- ВПЗР

- Всего сообщений: 2645
- Зарегистрирован: 24.11.2014
- Образование: высшее техническое
- Профессия: художник
- Откуда: Москва
- Возраст: 43
Re: Задачки на сообразительность
ALNY, спасибо дружище! Я сделал все возможное, чтобы сон окутал Ваше драценное тело! 
Мы все в океан попадем бесконечного будущего, но прошлого миг повторить никому не дано.
-
Марго
- Гениалиссимус

- Всего сообщений: 13772
- Зарегистрирован: 11.11.2009
- Образование: высшее гуманитарное
- Откуда: Моcква
-
Автор темыrusak
- ВПЗР

- Всего сообщений: 2645
- Зарегистрирован: 24.11.2014
- Образование: высшее техническое
- Профессия: художник
- Откуда: Москва
- Возраст: 43
Re: Задачки на сообразительность
Марго, хохочу над собой. Бывает иногда: так пишу взахлеб, что пропускаю аж слоги 
ALNY, мое доказательство хорошо тем, что не надо знать априори ни о каких директрисах, ни о параметре параболы p . Координаты фокуса и факт его инвариантности получаются автоматически. Посмотрел сегодня несколько лекций в ютубе - там одно и то же: парабола зачем-то на боку, расстояние p/2 берется с потолка. Надо принципиально менять логику анализа параболы. Особенно в части канонического уравнения.
ALNY, мое доказательство хорошо тем, что не надо знать априори ни о каких директрисах, ни о параметре параболы p . Координаты фокуса и факт его инвариантности получаются автоматически. Посмотрел сегодня несколько лекций в ютубе - там одно и то же: парабола зачем-то на боку, расстояние p/2 берется с потолка. Надо принципиально менять логику анализа параболы. Особенно в части канонического уравнения.
Мы все в океан попадем бесконечного будущего, но прошлого миг повторить никому не дано.
-
ALNY
- по чётным - академик

- Всего сообщений: 1291
- Зарегистрирован: 31.05.2010
- Образование: высшее естественно-научное
- Откуда: Россия, Омск
Re: Задачки на сообразительность
Нет, с доказательством я согласен. МАЛАДЭЦ! Не спорю!
А вот со всем остальным - повеселил.
Тут много пунктов. Основные обозначу.
1. Надо понимать, что геометрическое определение и аналитическое - разные вещи. И используются в разных ситуациях. Причем геометрическое определение как правило появляется раньше. Люди издревле пользуются колесом, а вот декартова система координат и запись X^2 + Y^2 = R^2 появились гораздо позже.
2. Тут два подпункта:
2a. Парабола, она и в Африке парабола.
2b. Математики ленивее художников.
Отсюда следует что: записанная в каноническом виде парабола ничуть не хуже записанной в какой-то иной форме. А те же выкладки, что и у тебя, выглядят изящней и отнимают меньше сил. Соответственно, при том же результате, у математиков остается больше времени на то, чтобы в свое удовольствие попить водочки.
3. Опережающий. Если вдруг возникнет иллюзия какой-то "общности". Это не так! Ты учёл только сдвиг относительно начала системы координат. А как насчет поворота на произвольный угол? Сложность выкладок, кстати, с учетом реальной общности сразу возрастает на порядок. Если там вообще возможен предложенный подход, ибо тангенс там будет иметь столь замысловатый аргумент, что просто так не разложится по формулам приведения.
4. Предложенное доказательство никоим образом не является геометрическим. Это чистой воды аналитика - координатный метод, который, как известно заведомо "перемалывает" все геометрические задачи. Более того, тут ещё и привлечение понятия производной - это вообще уже дифференциальное исчисление.
А геометрическое доказательство есть. Оно действительно "простое" (это если знать некоторые "ранее доказанные", но, кстати, вполне очевидные утверждения), в нём вообще нет никаких выкладок, сплошная "лирика" вокруг одной картинки. И лично для меня оказалось несколько неожиданным. Я пытался мыслить в этом направлении, но фантазии не хватило посмотреть на задачу под другим углом зрения. Чем геометрические методы, кстати, и сложны, в отличие от прямолинейного координатного метода...
Нет, с доказательством я согласен. МАЛАДЭЦ! Не спорю!
А вот со всем остальным - повеселил.
Тут много пунктов. Основные обозначу.
1. Надо понимать, что геометрическое определение и аналитическое - разные вещи. И используются в разных ситуациях. Причем геометрическое определение как правило появляется раньше. Люди издревле пользуются колесом, а вот декартова система координат и запись X^2 + Y^2 = R^2 появились гораздо позже.
2. Тут два подпункта:
2a. Парабола, она и в Африке парабола.
2b. Математики ленивее художников.
Отсюда следует что: записанная в каноническом виде парабола ничуть не хуже записанной в какой-то иной форме. А те же выкладки, что и у тебя, выглядят изящней и отнимают меньше сил. Соответственно, при том же результате, у математиков остается больше времени на то, чтобы в свое удовольствие попить водочки.
3. Опережающий. Если вдруг возникнет иллюзия какой-то "общности". Это не так! Ты учёл только сдвиг относительно начала системы координат. А как насчет поворота на произвольный угол? Сложность выкладок, кстати, с учетом реальной общности сразу возрастает на порядок. Если там вообще возможен предложенный подход, ибо тангенс там будет иметь столь замысловатый аргумент, что просто так не разложится по формулам приведения.
4. Предложенное доказательство никоим образом не является геометрическим. Это чистой воды аналитика - координатный метод, который, как известно заведомо "перемалывает" все геометрические задачи. Более того, тут ещё и привлечение понятия производной - это вообще уже дифференциальное исчисление.
А геометрическое доказательство есть. Оно действительно "простое" (это если знать некоторые "ранее доказанные", но, кстати, вполне очевидные утверждения), в нём вообще нет никаких выкладок, сплошная "лирика" вокруг одной картинки. И лично для меня оказалось несколько неожиданным. Я пытался мыслить в этом направлении, но фантазии не хватило посмотреть на задачу под другим углом зрения. Чем геометрические методы, кстати, и сложны, в отличие от прямолинейного координатного метода...
-
Автор темыrusak
- ВПЗР

- Всего сообщений: 2645
- Зарегистрирован: 24.11.2014
- Образование: высшее техническое
- Профессия: художник
- Откуда: Москва
- Возраст: 43
Re: Задачки на сообразительность
ALNY, я думал насчет произвольного положения параболы на плоскости. Но всегда ее можно привести к виду, который я рассматривал. Поворот системы координат - самая типичная задачка у студентов первого семестра обучения.
Еще раз повторю, да и Вы об этом сказали, что для чисто геометрического доказательства нужно заранее знать некоторые особенности, связанные с понятием фокуса и такого чисто искусственного вспомогательного образования, как директриса.
Мой подход - прямой. Используя его, с удивлением обнаруживаем, что точка F - незыблема. У меня
тоже простая геометрия прямоугольных треугольников. Требуются лишь вычисления катетов. Пифагор тоже катеты вычислял.
Еще раз повторю, да и Вы об этом сказали, что для чисто геометрического доказательства нужно заранее знать некоторые особенности, связанные с понятием фокуса и такого чисто искусственного вспомогательного образования, как директриса.
Мой подход - прямой. Используя его, с удивлением обнаруживаем, что точка F - незыблема. У меня
тоже простая геометрия прямоугольных треугольников. Требуются лишь вычисления катетов. Пифагор тоже катеты вычислял.
Мы все в океан попадем бесконечного будущего, но прошлого миг повторить никому не дано.
-
ALNY
- по чётным - академик

- Всего сообщений: 1291
- Зарегистрирован: 31.05.2010
- Образование: высшее естественно-научное
- Откуда: Россия, Омск
Re: Задачки на сообразительность
дык... об том и речь. Зачем тащить ТРИ параметра: a, b, c (y=ax^2+bx+c), когда можно обойтись одним: p (x=2py^2 или y=2pxy^2). Каков смысл коэффициентов a, b и с? А у параметра р есть явный смысл - это расстояние от директрисы до фокуса. И зачем тогда связываться со сдвигом системы координат? А если уж связываться, то надо по полной - и сдвиг, и поворот. Типичная задачка, говорите?.. Попробуйте переписать Ваше доказательство в рамках этой "типичной у студентов первого семестра обучения" задачки. Я Вас уверяю, что она перестанет Вам казаться столь уж простой...
Директриса не "чисто искусственное вспомогательное образование", а основополагающее, определяющее суть параболы понятие. А вот это вот y=ax^2+bx+c позднейшая запись частного(!) случая расположения параболы, ничего само по себе не говорящее абстрактное определение.
Насчет параболы не помню (с эллипсом там всё проще), но наверняка люди придумали массу механизмов, которые "рисуют" параболу автоматически на основе её геометрического определения. С аналитическим такое не пройдет. А есть штуки, которые "рисуют" параболу вообще помимо воли. Брошенный камень, снаряд из пушки, космические тела... И это не случайное совпадение. В самом определении через "чисто искусственные вспомогательные образования" типа директрисы и фокуса заложен фундаментальный закон природы - максимальный эффект посредством минимальных усилий. По тем же законам, кстати, и свет движется. Почему у телескопов делают отражающую поверхность в виде параболоида? Именно потому, что свет идёт по кратчайшему пути, именно потому, что расстояние до прямой (директрисы) равно расстоянию до точки (фокуса). А не потому, что y=ax^2+bx+c...
Так что зря Вы так... зря-зря-зря...
И насчет "простая геометрия прямоугольных треугольников" в Вашем доказательстве - это ошибка. Вы существенным образом использовали координатный метод, определяя точки A, F, M. Вы задействовали понятие производной при определении тангенса угла наклона прямой-касательной к параболе. И т.д. В "простой геометрии прямоугольных треугольников" вообще нет таких понятий, как координаты точки, уравнение прямой (кривой) и т.д. Если сможете выписать то же доказательство без использования уравнений, координат и производной, то - да. Вот тогда я скажу - это простая (не аналитическая) геометрия.
Кстати, в найденном мной доказательстве это всё в чистом виде. Там используется классическое определение параболы, свойства треугольников, понятие биссектрисы, касательной, перпендикуляра и ещё одно, интуитивно понятное, но, возможно, не столь известное в силу того, что в школе об этом могли и не говорить, свойство: прямая и парабола на плоскости могут не иметь общих точек вообще, иметь одну общую точку, иметь две общие точки - всё, других вариантов нет. И вот это весь набор сведений необходимых для доказательства. Никаких координат, производных, тригонометрических соотношений, формул преобразования и т.п. не требуется.
Директриса не "чисто искусственное вспомогательное образование", а основополагающее, определяющее суть параболы понятие. А вот это вот y=ax^2+bx+c позднейшая запись частного(!) случая расположения параболы, ничего само по себе не говорящее абстрактное определение.
Насчет параболы не помню (с эллипсом там всё проще), но наверняка люди придумали массу механизмов, которые "рисуют" параболу автоматически на основе её геометрического определения. С аналитическим такое не пройдет. А есть штуки, которые "рисуют" параболу вообще помимо воли. Брошенный камень, снаряд из пушки, космические тела... И это не случайное совпадение. В самом определении через "чисто искусственные вспомогательные образования" типа директрисы и фокуса заложен фундаментальный закон природы - максимальный эффект посредством минимальных усилий. По тем же законам, кстати, и свет движется. Почему у телескопов делают отражающую поверхность в виде параболоида? Именно потому, что свет идёт по кратчайшему пути, именно потому, что расстояние до прямой (директрисы) равно расстоянию до точки (фокуса). А не потому, что y=ax^2+bx+c...
Так что зря Вы так... зря-зря-зря...
И насчет "простая геометрия прямоугольных треугольников" в Вашем доказательстве - это ошибка. Вы существенным образом использовали координатный метод, определяя точки A, F, M. Вы задействовали понятие производной при определении тангенса угла наклона прямой-касательной к параболе. И т.д. В "простой геометрии прямоугольных треугольников" вообще нет таких понятий, как координаты точки, уравнение прямой (кривой) и т.д. Если сможете выписать то же доказательство без использования уравнений, координат и производной, то - да. Вот тогда я скажу - это простая (не аналитическая) геометрия.
Кстати, в найденном мной доказательстве это всё в чистом виде. Там используется классическое определение параболы, свойства треугольников, понятие биссектрисы, касательной, перпендикуляра и ещё одно, интуитивно понятное, но, возможно, не столь известное в силу того, что в школе об этом могли и не говорить, свойство: прямая и парабола на плоскости могут не иметь общих точек вообще, иметь одну общую точку, иметь две общие точки - всё, других вариантов нет. И вот это весь набор сведений необходимых для доказательства. Никаких координат, производных, тригонометрических соотношений, формул преобразования и т.п. не требуется.
-
Автор темыrusak
- ВПЗР

- Всего сообщений: 2645
- Зарегистрирован: 24.11.2014
- Образование: высшее техническое
- Профессия: художник
- Откуда: Москва
- Возраст: 43
Re: Задачки на сообразительность
Насчет камня, брошенного под углом к горизонту, я Вас сражу наповал. Он полетит не по параболе, а по эллипсу. Причем один из фокусов эллипса - центр земли. Параболой лишь аппроксимируют малюююсенькую часть эллипса. Конечно, сопротивлением воздуха пренебрегаем.
Еще разок даю свою мысль: естественный общий вид параболы это квадратный трехчлен. Я получил простые формулы координат основных точек. Такие же простые и понятные, как для нахождения корней. Только подставляй числовые значения трех параметров - и никакой головной боли. Лекции же, которые я посмотрел в ютубе, - это полное издевательство над молодым мозгом. Нужно сильно напрягаться, чтобы вычислить координаты фокуса. Что же касается директрисы, то она такая же геометрическая забава, как скажем, окружности Эйлера, Конвея, Мальфатти, Ламуна и Веррьера в треугольнике. Они Вам нужны?
Да, забыл сказать: сейчас на дворе 21-й век, а не плюс-минус третий. Вычисления должны быть максимально простыми. Пусть даже на базе производных, касательных и обратных тригонометрических функций.
Еще разок даю свою мысль: естественный общий вид параболы это квадратный трехчлен. Я получил простые формулы координат основных точек. Такие же простые и понятные, как для нахождения корней. Только подставляй числовые значения трех параметров - и никакой головной боли. Лекции же, которые я посмотрел в ютубе, - это полное издевательство над молодым мозгом. Нужно сильно напрягаться, чтобы вычислить координаты фокуса. Что же касается директрисы, то она такая же геометрическая забава, как скажем, окружности Эйлера, Конвея, Мальфатти, Ламуна и Веррьера в треугольнике. Они Вам нужны?
Да, забыл сказать: сейчас на дворе 21-й век, а не плюс-минус третий. Вычисления должны быть максимально простыми. Пусть даже на базе производных, касательных и обратных тригонометрических функций.
Мы все в океан попадем бесконечного будущего, но прошлого миг повторить никому не дано.
-
Таланов
- по чётным - академик

- Всего сообщений: 1200
- Зарегистрирован: 29.08.2013
- Образование: высшее естественно-научное
- Профессия: инженер
- Откуда: Дивногорск
- Возраст: 66
-
ALNY
- по чётным - академик

- Всего сообщений: 1291
- Зарегистрирован: 31.05.2010
- Образование: высшее естественно-научное
- Откуда: Россия, Омск
Re: Задачки на сообразительность
Меня-то ладно, главное, чтобы Вы не сбили с пути истинного наши славные вооруженные силы, особенно ПВО. Им же придется переписывать всё программное обеспечение, после чего они перестанут попадать в цели.
Уверяю Вас, что мысль Вашу я понял. Она лишь демонстрирует Ваше поверхностное знание материала - не более того.
rusak:Насчет камня, брошенного под углом к горизонту, я Вас сражу наповал. Он полетит не по параболе, а по эллипсу.
Уверяю Вас, что мысль Вашу я понял. Она лишь демонстрирует Ваше поверхностное знание материала - не более того.
-
Автор темыrusak
- ВПЗР

- Всего сообщений: 2645
- Зарегистрирован: 24.11.2014
- Образование: высшее техническое
- Профессия: художник
- Откуда: Москва
- Возраст: 43
Re: Задачки на сообразительность
ALNY, насчет "поверхностных" знаний отвечу цитатой из современного учебника:
"Не по параболе, а по эллипсу. По параболе он летел бы в случае равномерного гравитационного поля, а поле Земли центрально. Правда в масштабах полета камня, этот эллипс есть почти парабола..."
Нужно учить физику 20-го века, а не ньютоновскую.
Кроме того, я занимался баллистикой дальнобойных снарядов. Мне вояки передали файл с данными ста тысяч выстрелов и попросили аппроксимировать. Так вот, не зная приведенной выше цитаты, я выявил, что кривая - именно эллипс.
Теперь по поводу параболы. Думаю, лучше всего докажет мою правоту пример. Я в ютубе просмотрел первую попавшую лекцию. Нужно было найти важные точки параболы, заданной уравнением
y=-0.5x^2-x+0.5
Сначала мой подход: a=-0.5 ; b=-1 ; c=0.5
Точка экстремума x_e=-b/(2a)=-1 ; y_e=c-b^2/(4a)=1
Фокус: x_f=x_e=-1 ; y_f=y_e+1/(4a)=0.5
Директриса записывается горизонталью y=y_e-1/(4a)=1.5
Вот и все! Лектор же на 50 минут развел бодягу, представляя исходник в виде
(x-h)^2=4p(y-k)
Долго втолковывал, как к такому виду приводить, как анализировать, упрощать. Студенты сходу не понимали, просили повторить подробней моменты и т. д. Хотя задача буквально для пятиклассников, если делать просто по формулам.
"Не по параболе, а по эллипсу. По параболе он летел бы в случае равномерного гравитационного поля, а поле Земли центрально. Правда в масштабах полета камня, этот эллипс есть почти парабола..."
Нужно учить физику 20-го века, а не ньютоновскую.
Кроме того, я занимался баллистикой дальнобойных снарядов. Мне вояки передали файл с данными ста тысяч выстрелов и попросили аппроксимировать. Так вот, не зная приведенной выше цитаты, я выявил, что кривая - именно эллипс.
Теперь по поводу параболы. Думаю, лучше всего докажет мою правоту пример. Я в ютубе просмотрел первую попавшую лекцию. Нужно было найти важные точки параболы, заданной уравнением
y=-0.5x^2-x+0.5
Сначала мой подход: a=-0.5 ; b=-1 ; c=0.5
Точка экстремума x_e=-b/(2a)=-1 ; y_e=c-b^2/(4a)=1
Фокус: x_f=x_e=-1 ; y_f=y_e+1/(4a)=0.5
Директриса записывается горизонталью y=y_e-1/(4a)=1.5
Вот и все! Лектор же на 50 минут развел бодягу, представляя исходник в виде
(x-h)^2=4p(y-k)
Долго втолковывал, как к такому виду приводить, как анализировать, упрощать. Студенты сходу не понимали, просили повторить подробней моменты и т. д. Хотя задача буквально для пятиклассников, если делать просто по формулам.
Мы все в океан попадем бесконечного будущего, но прошлого миг повторить никому не дано.
-
ALNY
- по чётным - академик

- Всего сообщений: 1291
- Зарегистрирован: 31.05.2010
- Образование: высшее естественно-научное
- Откуда: Россия, Омск
Re: Задачки на сообразительность
Во-вторых, Вы вообще в курсе, что все кривые второго порядка описываются одним уравнением? И что парабола - это тот же эллипс, только второй фокус отнесен в бесконечность? Отсюда следует что .... ?....
В-третьих, мы оба прекрасно знаем, что в реальности траектория полета вообще не описывается ни одной кривой второго порядка. Это идеализированная математическая модель Поэтому рассуждать о влиянии равномерности-центральности гравитационного поля Земли для полета камня и не упомянуть о сопротивлении воздуха... это просто уровень того учебника, которому Вы так доверяете.
И кстати, на ту же тему:
Относительно лекции - я её не видел, поэтому не комментирую. Но тут надо бы понимать одну простую вещь. Целью лекции не является что-то найти. Это лучше делать в тиши кабинетов, подальше от шумных студентов. Целью лекции является обучение студентов. В частности, дать им представление о многообразиии известных подходов, разбудить мысль, простимулировать собственное творчество. Вы говорите, они вопросы задавали? Просили повторить? Не считаете же Вы, что лучше бы они спали на лекции под монотонные и однообразные выкладки, которые и так можно найти в любом учебнике?..
Вы же почему-то упорно хотите свести всё разнообразие математической мысли к одному квадратному уравнению...
Помимо прочего, это, кстати, путь к форматированию мозгов. Почему-то в этой теме мне постоянно вспоминается Роберт Вуд, в своё время сконструировавший идеальное параболическое зеркало для телескопа за сущие копейки. В то время как изготовление такого зеркала чрезвычайно трудоемкий и, соответственно, дорогой процесс. Если бы его представления о параболе ограничивались квадратным уравнением, он никогда бы не нашел столь простого и изящного решения чисто технической задачи...
Пишут много чего. Доказательства? Для обоснования параболической траектории они есть. Вот тут Таланов, кстати, упомянул. Это во-первых.rusak:"Не по параболе, а по эллипсу. По параболе он летел бы в случае равномерного гравитационного поля, а поле Земли центрально. Правда в масштабах полета камня, этот эллипс есть почти парабола..."
Нужно учить физику 20-го века, а не ньютоновскую.
Во-вторых, Вы вообще в курсе, что все кривые второго порядка описываются одним уравнением? И что парабола - это тот же эллипс, только второй фокус отнесен в бесконечность? Отсюда следует что .... ?....
В-третьих, мы оба прекрасно знаем, что в реальности траектория полета вообще не описывается ни одной кривой второго порядка. Это идеализированная математическая модель Поэтому рассуждать о влиянии равномерности-центральности гравитационного поля Земли для полета камня и не упомянуть о сопротивлении воздуха... это просто уровень того учебника, которому Вы так доверяете.
И кстати, на ту же тему:
Вот это вообще ерунда полная. Кто ж аппроксимирует данные практических испытаний кривой второго порядка? А если точность аппроксимации никого не интересовала, то зачем это вообще надо было?rusak:Кроме того, я занимался баллистикой дальнобойных снарядов. Мне вояки передали файл с данными ста тысяч выстрелов и попросили аппроксимировать. Так вот, не зная приведенной выше цитаты, я выявил, что кривая - именно эллипс.
Только давайте не будем называть это "мой подход". Эти формулы известны уже не одну сотню лет.rusak:Теперь по поводу параболы. Думаю, лучше всего докажет мою правоту пример. Я в ютубе просмотрел первую попавшую лекцию. Нужно было найти важные точки параболы, заданной уравнением
y=-0.5x^2-x+0.5
Сначала мой подход: a=-0.5 ; b=-1 ; c=0.5
Точка экстремума x_e=-b/(2a)=-1 ; y_e=c-b^2/(4a)=1
Фокус: x_f=x_e=-1 ; y_f=y_e+1/(4a)=0.5
Директриса записывается горизонталью y=y_e-1/(4a)=1.5
Относительно лекции - я её не видел, поэтому не комментирую. Но тут надо бы понимать одну простую вещь. Целью лекции не является что-то найти. Это лучше делать в тиши кабинетов, подальше от шумных студентов. Целью лекции является обучение студентов. В частности, дать им представление о многообразиии известных подходов, разбудить мысль, простимулировать собственное творчество. Вы говорите, они вопросы задавали? Просили повторить? Не считаете же Вы, что лучше бы они спали на лекции под монотонные и однообразные выкладки, которые и так можно найти в любом учебнике?..
Вы же почему-то упорно хотите свести всё разнообразие математической мысли к одному квадратному уравнению...
Помимо прочего, это, кстати, путь к форматированию мозгов. Почему-то в этой теме мне постоянно вспоминается Роберт Вуд, в своё время сконструировавший идеальное параболическое зеркало для телескопа за сущие копейки. В то время как изготовление такого зеркала чрезвычайно трудоемкий и, соответственно, дорогой процесс. Если бы его представления о параболе ограничивались квадратным уравнением, он никогда бы не нашел столь простого и изящного решения чисто технической задачи...
-
Автор темыrusak
- ВПЗР

- Всего сообщений: 2645
- Зарегистрирован: 24.11.2014
- Образование: высшее техническое
- Профессия: художник
- Откуда: Москва
- Возраст: 43
Re: Задачки на сообразительность
И все-таки, строго говоря, имеем эллипс. Другое дело, что фокусы не близки друг к другу, но с точки зрения математики 6 тыс. км. - это далеко не бесконечность. Парабола в данном случае - лишь приближение.
По поводу обучения. Превратить простейшую кривую параболу в головоломку - непростительное дело. Мозги студентов и так перегружены. Чем проще, тем лучше. Всего 4 формулы - и координаты точек получены. Если же с каждой кривой второго порядка возиться, как ботаник с букашкой, то не хватит времени на действительно полезные в будущем математические знания.
По поводу обучения. Превратить простейшую кривую параболу в головоломку - непростительное дело. Мозги студентов и так перегружены. Чем проще, тем лучше. Всего 4 формулы - и координаты точек получены. Если же с каждой кривой второго порядка возиться, как ботаник с букашкой, то не хватит времени на действительно полезные в будущем математические знания.
Мы все в океан попадем бесконечного будущего, но прошлого миг повторить никому не дано.
-
- Похожие темы
- Ответы
- Просмотры
- Последнее сообщение
Мобильная версия
